본문 바로가기

Statistics/통계학 입문

특이값과 Z-Score

정말 **cking 한 특이값

다른 값들에 비하여 특이하게 아주 크거나 작은 값으로써 데이터를 처리할 떄 문제를 일으키는 골칫덩이다

 

특이값은 어떻게 찾나요?

바로바로 우리의 한 줄기 빛처럼 내려오는

Z-SCORE를 사용하여 찾을 수 있다 !

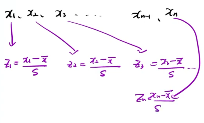
Z-SCORE가 뭔지 알겠어요, 근데 어떻게 구하는건데요....

정리하면 아래와 같다

 

#THM 1) 평균이 0이 되는 것을 증명해보자

노란 형관펜 부분은 X(각 자료)i와 Xㅡ(자료들의 평균)의 거리에 대해 모두 더한 값이 0이기 때문에 분모가 0이므로 Zi는 0이된다

노란 형관펜 부분은 Xi(각 자료)와 Xㅡ(자료들의 평균)의 거리에 대해 모두 더한 값이 0이기 때문에 분모가 0이므로 Zi는 0이된다

기억이 잘 나지 않는다면 아래 사진을 보며 분산을 공부했을 때를 기억해보자

수평선을 그려놓고 거리에 대해 모두 더하면 0이 되기 때문에

0 방지 위원회인 제곱(^2)이 나왔다

하지만 현재 Z-SCORE의 평균을 구할 때는 0 방지 위원회인 제곱이 없기 때문에....

분모가 0이 된다

 

 

 

 

 

#THM 2) 표준편차가 1이 되는 것을 증명해보자

방금 전 Z-SCORE의 평균이 0이 되는 것을 증명했기때문에 Zㅡ는 0이 된다

정리하면 다음과 같다

 

 

 

 

 

어...? 맨 아래 동그라미 친 부분을 자세히 보자...

우리가 공부했던 모양과 같다...

그렇다 이건 바로 S^2 = 표본분산이다....!! (아래 이미지 참고)

엥 쟤는 분모가 있잖아...

 

응 넘기면 돼

(S^2)(n-1) = 시그마(Xi - Xㅡ)^2 모양이다

따라서 분모와 분자를 나눠주면 1이 된다!!

 

이것으로 증명을 마친다

QED

'Statistics > 통계학 입문' 카테고리의 다른 글

확률(probability)  (0) 2022.11.20
연관성 척도  (0) 2022.11.08
변동성 척도(4분위수를 배운 이유)  (0) 2022.09.18
중심위치 척도...  (0) 2022.09.15
basic - 표와 그래프(2) 줄기 잎 전시 ~ 특이값  (0) 2022.09.05